【導讀】本文是關于利用數字萬用表測量小電阻阻值的方法。如何用數字萬用表精確測量阻值很小的電阻在電子工程技術應用中是經常遇到的問題,尤其是電阻值較小時,饋線電阻產生的誤差也是無法忽視的。既然誤差零容忍,那就從方式方法下手吧。
萬用表電阻為Rx,電壓測量端S1、S2通過短路線接至Hi-Lo端。數字萬用表實際測量到的電阻值包括被測電阻Rx及饋線電阻RL1和RL2。當測量的電阻阻值較小時,饋線電阻產生的誤差就不容忽視。
四線測量
四線測量是將恒流源電流流入被測電阻R的兩根電流線和數字萬用表電壓測量端的兩根電壓線分離開,使得數字萬用表測量端的電壓不再是恒流源兩端的直接電壓,如下圖所示。

圖一
從圖中可以看出,四線測量法比通常的測量法多了兩根饋線,斷開了電壓測量端與恒流源兩端連線。由于電壓測量端與恒流源端斷開,恒流源與被測電阻Rx、饋線RL1、RL2構成一個回路。送至電壓測量端的電壓只有Rx兩端的電壓,饋線RL1、RL2電壓沒有送至電壓測量端。因此,饋線電阻RL1和RL2對測量結果沒有影響。饋線電阻RL3和RL4對測量有影響,但影響很小,由于數字萬用表的輸入阻抗(MΩ級)遠大于饋線電阻(Ω級),所以,四線測量法測量小電阻的準確度很高。不過,四線測量中的恒流源電流的精確度非常關鍵。建議采用外加的更穩定的恒流源電流;應注意的是,外加的恒流源電流的大小要與數字萬用表恒流源電流的大小相等。我們采用的外加的恒流源電流由高精密基準電壓源MAX6250、運放及擴流復合管組成,如下圖所示。電壓源MAX6250的溫漂≤2ppm/℃,時漂ΔVout/t=20ppm/1000h。

圖二
I取800μA~1mA,R是極低溫漂線繞電阻(若取I=1mA,R=5kΩ),這時I的溫漂和時漂相當于MAX6250的水平。
饋線電阻補償
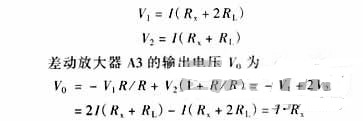
饋線電阻補償法通常采用三線制接法,被測電阻與接地的線相接。原理如下圖所示。

圖3

從上式可知,饋線電阻上的附加電壓加到A3的輸入端,通過求差而消除,輸出電壓僅與被測電阻有關,且成線性關系。不管被測電阻大小如何,誤差都能完全補償。
在這種饋線電阻補償法測量小電阻電路中,測量精確度主要取決于恒流源電流I的精確度和饋線電阻RL的大小是否相等。電路中的運放可選用四通用單運放(LM324)。當用此法測量阻值小于0.5Ω的電阻時,應確保RL完全相等(注意饋線材料,長短及焊點的大小)。
實驗比較
比較分四組進行:①用普通數字萬用表測量;②用四線測量(借助于數字萬用表本身的恒流源電流);③用四線測量(用外加的恒流源電流);④饋線補償測量。
如下圖所示對測量結果的比較可以看出對于100Ω的電阻,普通數字萬用表的測量相對誤差在2%左右,隨著電阻值變小,未經過改進的數字電源萬用表的測量誤差越來越大,原因主要是饋線電阻的影響;經過處理的數字表,測量5Ω電阻的相對誤差在2%以下,但受恒流源電流本身穩定度的影響,②、③測量結果的準確度也不一樣;而饋線補償法測量誤差最小,不管饋線電阻大小如何,其測量0.1Ω的相對誤差都低于10%。

表1



