圖1顯示了正向轉換器的功率級。該轉換器由變壓器運行,該變壓器將輸入電壓耦合至次級電路,再由次級電路完成對輸入電壓的整流和濾波。反射主電壓和變壓器漏電感形成低阻抗電路,當 D2 通過一個這樣電阻而被迫整流關閉 (commutate off) 時,通常需要一個緩沖器。D2 可以是一個硅 p-n 二極管,該二極管具有一個必須在其關閉前實現耗盡的逆向恢復充電功能。這就積累 (loads up) 了漏電感中的過剩電流,從而導致高頻率振鈴和過高的二極管電壓。肖特基二極管和同步整流器也存在類似情況,前者是因為其大結電容,后者是因為其關閉延遲時間問題。

圖1 漏電感延緩了D2關閉
圖 2 顯示了一些電路波形,頂部線跡為 Q1 漏電壓,中部線跡為 D1 和 D2 結點處的電壓,底部線跡為流經 D1 的電流。在頂部線跡中,您可以看到當 Q1 打開時,其漏電壓被降至輸入電壓以下,這樣就使得二極管 D1 電流增加。如果 D2 沒有逆向恢復充電功能,當 D1 電流等于輸出電流時,結點電壓就會上升。由于 D2 具有逆向恢復充電功能,因此 D1 電流會進一步增加,這便開始消耗電荷。一旦電荷耗盡,二極管便關閉,從而導致增加的結點電壓進一步提高。請注意,電流會不斷增加直到結點電壓等于反射輸入電壓為止,因為在漏電感兩端有一個正電壓。隨著電流的增加,該電流將對寄生電容進行充電并導致電路中振鈴和損耗更大。

圖2 當D2關閉時D2會引起過多的振鈴
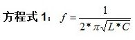
這些振鈴波形也許是人們所無法接受的,因為它們會引起 EMI 問題或帶來二極管上讓人無法接受的電壓應力。跨接 D2 的 RC 緩沖器可以在幾乎不影響效率的同時大大減少振鈴。您可以利用下面的方程式計算得出振鈴頻率(請參見方程式 1):

但是您如何知道電路中L和 C 的值呢?竅門就是通過在 D2 兩端添加一個已知電容值的電容以降低振鈴頻率,這樣您就得到了兩個方程式以及兩個未知項。如果您添加了正好可以減半振鈴頻率的電容,那么就會使求出上述值變得更加輕松。要想降低一半頻率,您需要一個 4 倍于您一開始使用的寄生電容的總電容。然后,只要將所添加的電容除以 3 就可以得到寄生電容。圖 3 顯示了頻率為最初振鈴頻率一半時 D2 兩端 470 pF 電容的波形。因此,電路具有大約 150 pF 的寄生電容。請注意,只添加電容對振鈴的振幅作用很小,電路還需要一些電阻來阻尼振鈴。這就是電容因數 3 是開始的好地方的另一個原因。如果選擇的電阻適當,那么該電阻就可以在對效率最小影響的同時提供卓越的阻尼效果。阻尼電阻的最佳值幾乎就是寄生元件的典型電阻(請參見方程式 2)。
![]()

圖3 將振鈴頻率提高兩倍完成寄生計算
使用具有35MHz 振鈴頻率的方程式1以及一個150pF的寄生電容可以計算得出漏電感為150nH。把150nH代入方程式2得出 一個大約為30Ohms的緩沖器電阻值。圖4顯示了添加緩沖器電阻的影響。振鈴被完全消除且電壓應力也從60V降到了40V。這樣我們就能選擇一個更低額定電壓的二極管,從而實現效率的提高。該過程的最后一步是計算緩沖器電阻損耗。使用方程式3可以完成該過程的最后一步,其中f為工作頻率。
![]()
一旦完成計算,您就需要確定電路是否可以承受緩沖器中的損耗。如果不能的話,您就需要在振鈴和緩沖器損耗間進行權衡。

圖4 選擇適當的緩沖器電阻器能完全消除振鈴
總而言之,緩沖正向轉換器是一個簡單的過程:1) 添加電容以減半振鈴頻率;2) 計算寄生電容和電感;3) 計算阻尼電阻以及電感 4) 確定電路損耗是否在可以接受的范圍內。




