中心議題:
- 常見測量蓄電池內阻的方法
- 蓄電池內阻檢測原理
- 精確測量蓄電池內阻的方法
解決方案:
- 交流恒流源的設計
1.引言
蓄電池作為電源系統停電時的備用電源,已廣泛的應用于工業生產、交通、通信等行業。如果電池失效或容量不足,就有可能造成重大事故,所以必須對蓄電池的運行參數進行全面的在線監測。蓄電池狀態的重要標志之一就是它的內阻。無論是蓄電池即將失效、容量不足或是充放電不當,都能從它的內阻變化中體現出來。因此可以通過測量蓄電池內阻,對其工作狀態進行評估。目前測量蓄電池內阻的常見方法有:
(1)密度法
密度法主要通過測量蓄電池電解液的密度來估算蓄電池的內阻,常用于開口式鉛酸電池的內阻測量,不適合密封鉛酸蓄電池的內阻測量。該方法的適用范圍窄。
(2)開路電壓法
開路電壓法是通過測量蓄電池的端電壓來估計蓄電池內阻,精度很差,甚至得出錯誤結論。因為即使一個容量已經變得很小的蓄電池,再浮充狀態下其端電壓仍可能表現得很正常。
(3)直流放電法
直流放電法就是通過對電池進行瞬間大電流放電,測量電池上的瞬間電壓降,通過歐姆定律計算出電池內阻。雖然這種方法在實踐中也得到了廣泛的應用,但是它也存在一些缺點。如用該方法對蓄電池內阻進行檢測必須是在靜態或是脫機狀態下進行,無法實現在線測量。而且大電流放電會對蓄電池造成較大的損害,從而影響蓄電池的容量及壽命。
(4)交流注入法
交流法通過對蓄電池注入一個恒定的交流電流信號IS,測量出蓄電池兩端的電壓響應信號Vo,以及兩者的相位差θ由阻抗公式
![]()
來確定蓄電池的內阻R。該方法不需對蓄電池進行放電,可以實現安全在線檢測電池內阻,故不會對蓄電池的性能造成影響。但該方法需要測量交流電流信號Is,電壓響應信號Vo,以及電壓和電流之間的相位差θ由此可見這種方法不但干擾因素多,而且增加了系統的復雜性,同時也影響了測量精度。
為了解決上述各方法的缺陷,本文采用了四端子測量方式,將蓄電池兩端上的電壓響應信號通過交流差分電路與產生恒定交流源的正弦信號經過模擬乘法器相乘,再將模擬乘法器的輸出電壓信號通過濾波電路,使交流信號轉變為直流信號,直流信號經直流放大器放大后進行模數轉換,將轉換后的值送入單片機進行簡單處理。
2.蓄電池內阻檢測原理
由于電池內阻為毫歐級,因此采用常規的兩端子測量方法測量誤差較大,在此采用四端子測量方式。測量時兩個端子施加一頻率為1.0kHZ±0.1kHZ的恒定交流激勵電流信號,另兩個端子用于測量。測量工作原理圖如圖1所示,響應信號是指蓄電池注入交流恒流源后,在其兩端測出的交流電壓信號。而正弦信號是經D/A產生的作為壓控恒流源的輸入信號。

圖1 測量工作原理圖[page]
設正弦信號為:u1(ωt)=Acosωt 。蓄電池兩端的響應電壓信號為:u2(ωt)=Bcos(ωt + θ) 。θ為注入蓄電池的交流電流和其兩端響應電壓信號的相位差。
通過模擬乘法器后有:

K為模擬乘法器的放大系數。進行低通濾波后濾掉交流成分得:
![]()
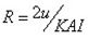
由交流法測內阻原理得:
![]()
式中I為交流恒流源信號的最大值。
比較可得:
![]()
上式中K、A、I都是已知量,而u為經過A/D采樣送到單片機進行處理的采樣值,所以在單片機中進行一個簡單的除法運算便能得到蓄電池內阻了。
3.交流恒流源的設計
成功檢測蓄電池狀態的前提是可以提供需要的交流恒流源。恒流源是能夠向負載提供恒定電流的電源裝置。它是一個電源內阻非常大的電源。為了保證內阻有較高的測量精度及較好的重現性,要求恒流電流源有足夠的穩定度,并且波形失真度要小。這里所需交流信號幅度為40mV,頻率為1KHZ。
但是傳統的低頻交流信號發生器設計中存在很多的不足:應用通用電路,元器件多,尤其是電容的體積大,且波形的穩定性差、失真大,調節也極不方便;應用專用電路,如ICL8038、MAX038等,其失真和穩定性方面有明顯提高,但低頻應用時不合適,調節不方便,成本也較高。
3.1 設計原理
本文采用了數字式信號發生器產生標準正弦波和電流負反饋法產生精確交流恒流源法, 交流恒流源實現原理如圖2所示。

圖2 正弦交流恒流源實現原理
電路組成框圖如圖2所示:這是一個閉環控制系統,電流負反饋電路。標準正弦波產生一個頻率穩定、對稱、失真度低的1KHz正弦波信號。驅動電路把正弦波放大,去推動功放電路,得到正弦交流電流輸出。恒流控制電路從功放輸出中得到的信號,通過與給定的信號相比較,來調節驅動電路的信號,從而使輸出電流保持穩定。
3.2 標準正弦波的產生原理
標準正弦波信號的產生采用數字式信號發生器。首先將正弦表數據存儲在正弦信號存儲器中,晶振產生振蕩頻率f,經過整型電路變為完整方波頻率,再經過R分頻電路得到頻率為f/R,再經過鑒相器FD和環路濾波器LF電路鎖相分頻后,讀取存儲在正弦信號存儲器中的正弦值,經過D/A轉換電路和經低通有源濾器濾波電路,生成圖2 所需的標準正弦波。
4.總結
與現有技術相比,該處理方法的適用范圍廣,測量精度高,對蓄電池的損害小,可以對蓄電池進行安全的在線監測管理。同時不需要進行交流采樣和求解cos ,就能求出蓄電池的內阻值。這簡化了交流注入法中需要對蓄電池兩端交流電壓和相位差 進行測量的軟硬件的復雜程度。該方法可以滿足蓄電池檢測的要求,取得了較好的實用效果,完成了對鉛酸蓄電池的性能檢測和故障診斷。為蓄電池的在線檢測提供了一種實用的方法。




