中心議題:
- 類終端的功耗現狀和面臨的挑戰
- 卡類終端產品的一種熱布局算法
- 器件的熱工作可靠性分析
PCB布局遵循的常規方法很多,如:熱點分散;將發熱最大的器件布置在散熱最佳位置;高熱耗散器件在與基板連接時應盡能減少它們之間的熱阻;PCB的每一層要大量鋪銅且多打通孔等。而在進行PCB布局前,對PCB的熱設計至關重要。
市場上卡類終端的功耗現狀和面臨的挑戰
隨著LTE無線網絡的部署,下行的數據速率已經達到并超過了1Gbps,要處理這么高的數據速率,數據終端必需要很高的數據處理能力,同時必然帶來功耗的增加。而我們正在研發的幾款產品均出現了熱的問題,有幾款樣機在大速率數據傳輸時甚至在幾分鐘內就出現系統崩潰的現象,而這些問題的根源就是發熱,熱設計已經成為了卡類終端的一個挑戰。蘋果公司iPAD產品的一個實例,大量用戶反饋其產品在較高環境下出現問題,這從側面反映了熱設計對于終端產品的重要性。功耗熱已經成為了工程師在產品設計的初期需要認真考慮的一個關鍵問題。
終端平臺的熱源器件主要有基帶芯片、射頻芯片、功放、電源管理芯片等,這些器件的功耗有的可以從廠商給的datasheet中查到,有的查不到,對于從datasheet中查不到功耗數據的熱源器件,需要根據經驗或同類項目的測試數據進行估算,還可以直接向平臺提供商索取相關數據。表1為某項目主要熱功耗器件的功耗評估結果。

從表1的數據中我們可以看到一款數據卡的功耗已經接近了4W,要想在U盤大小的結構件內耗散這么大的熱量,PCB的熱設計可以說已經成了產品能否可靠工作的一個至關重要的設計考量。
卡類終端產品的一種熱布局算法
自然對流冷卻的熱流密度經驗值是0.8mW/mm2,即當每平方毫米的面積上分布的功率是0.8mW時,可以產生很好的自然對流冷卻效果。熱源器件的熱距離的計算是基于此經驗值進行的。計算方法如下:
設某芯片的長是L(mm),寬是W(mm),該器件的功耗是Pd(mW)。
要達到自然對流冷卻效果,該器件應占用的PCB面積是:
![]()
限定器件長邊和寬邊的熱距離相等,均為x(mm),則把熱距離考慮在內該器件占用的PCB面積是:
[page]
以上計算僅考慮了PCB單面散熱,實際PCB雙面都可以散熱,如果熱源器件背面沒擺放其它器件,那么背面的銅皮也可以起到散熱作用,此時的熱距離將是上面計算所得數據的一半,即:
![]()
下面計算熱源器件所占的PCB面積。

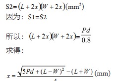
在PCB布局中,上面的計算數據往往是不可行的,因為PCB的面積有限,如果按上面的數據進行布局的話,PCB的面積就不夠用了,所以需要對上面的數據按一定比例壓縮,可以把上面的熱距離除2作為壓縮后的熱距離,由此計算壓縮熱距離后熱源器件所占的PCB面積如下:
熱源器件背面有器件,壓縮后所占PCB面積:S1=
![]()
熱源器件背面無器件,壓縮后所占PCB面積:S2=
。表2計算了本項目熱源器件的布局熱距離及布局面積。

器件的熱工作可靠性分析
任何一個熱源器件能承受的最高結溫是有限的,這個最高結溫在廠家給出的datasheet內都能查到,如果熱源器件實際工作的結溫高出了能承受的最高結溫,那么熱源器件的工作將會進入不可靠狀態,對于這種情況,在PCB布局時就要考慮把這類器件遠離其它發熱器件,周圍大面積鋪銅,所在位置正下方的內層和底層也大面積鋪銅,以此來解決這類器件結溫過高的問題,所以計算熱源器件實際工作的結溫在PCB的熱設計中也是非常重要的。另外還需計算熱源器件相對于環境的溫升,知道了熱源器件相對于環境的溫升,就知道了哪個熱源器件溫度最高,這樣在熱布局過程就會做到心中有數。
終端產品熱設計算法和可靠性在項目中的應用

熱源器件的功耗分析、熱源器件的熱距離布局面積計算以及熱源器件的環境溫度分析都完成后就可以開始PCB的布局了,PCB的布局需要遵循最基本的熱設計原則,如:熱點分散;將最高功耗和發熱最大的器件布置在散熱最佳位置;不要將發熱較高的器件放置在印制板的角落和四周邊緣;高熱耗散器件在與基板連接時應盡能減少它們之間的熱阻等,另外還要按照上面計算的壓縮熱間距布放熱源器件,在熱源器件的壓縮熱間距內盡量少布器件,更不能布放發熱器件,熱源器件的背面也要盡量少布器件,更不能布放發熱器件。圖1為本項目的最終PCB版圖,圖2為其溫度測量圖。由圖可見,本設計方法是實用的。




