中心議題:
- Boost功率電路的PFC連續工作模式的基本關系
- 臨界連續Boost電感設計
通常Boost功率電路的PFC有三種工作模式:連續、臨界連續和斷續模式。控制方式是輸入電流跟蹤輸入電壓。連續模式有峰值電流控制,平均電流控制和滯環控制等。本文介紹Boost功率電路的PFC連續工作模式的基本關系及臨界連續Boost電感設計。
連續模式的基本關系
1. 確定輸出電壓Uo
輸入電網電壓一般都有一定的變化范圍(Uin±Δ%),為了輸入電流很好地跟蹤輸入電壓,Boost級的輸出電壓應當高于輸入最高電壓的峰值,但因為功率耐壓由輸出電壓決定,輸出電壓一般是輸入最高峰值電壓的1.05~1.1倍。例如,輸入電壓220V,50Hz交流電,變化范圍是額定值的20%(Δ=20),最高峰值電壓是220×1.2×1.414=373.45V。輸出電壓可以選擇390~410V。
2. 決定最大輸入電流
電感應當在最大電流時避免飽和。最大交流輸入電流發生在輸入電壓最低,同時輸出功率最大時

其中: Uimin -最低輸入電壓;η-Boost級效率,通常在95%以上。
3. 決定工作頻率
由功率器件,效率和功率等級等因素決定。例如輸出功率1.5kW,功率管為MOSFET,開關頻率70~100kHz。
4. 決定最低輸入電壓峰值時最大占空度
因為連續模式Boost變換器輸出Uo與輸入Uin關系為 ,所以

從上式可見,如果Uo選取較低,在最高輸入電壓峰值時對應的占空度非常小,由于功率開關的開關時間限制(否則降低開關頻率),可能輸入電流不能跟蹤輸入電壓,造成輸入電流的THD加大。
5. 求需要的電感量
為保證電流連續,Boost電感應當大于

其中:,k=0.15~0.2。
6. 利用AP法選擇磁芯尺寸
根據電磁感應定律,磁芯有效截面積

如果電感是線性的,有

因為Boost電感直流分量很大,磁芯損耗小于銅損耗,飽和磁通密度限制最大值。為保證在最大輸入電流時磁芯不飽和,應當有

因此,面積乘積

其中kw=0.3~0.5窗口填充系數,也稱為窗口利用系數。B《B/(1+k)。由此選擇磁芯。[page]
輸出功率在1kW以上,一般采用氣隙磁芯。因環形磁粉芯價格高,且加工困難,成本高。但是氣隙磁芯在氣隙附近邊緣磁通穿過線圈,造成附加損耗,這在工藝上應當注意的。
7. 計算匝數

臨界連續Boost電感設計
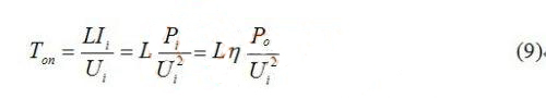
1. 臨界連續特征
Boost功率開關零電流導通,電感電流線性上升。當峰值電流達到跟蹤的參考電流(正弦波)時開關關斷,電感電流線性下降。當電感電流下降到零時,開關再次導通。如果完全跟蹤正弦波,根據電磁感應定律有

或
其中:Ui、Ii為輸入電壓和電流有效值。在一定輸入電壓和輸入功率時,Ton是常數。當輸出功率和電感一定時,導通時間Ton與輸入電壓Ui的平方成反比。
2. 確定輸出電壓
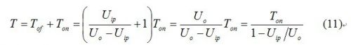
電感的導通伏秒應當等于截止時伏秒:

則

開關周期為

可見,輸出電壓Uo一定大于輸入電壓Uip,如果輸出電壓接近輸入電壓,在輸入電壓峰值附近截止時間遠大于導通時間,開關周期很長,即頻率很低。
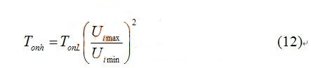
如果首先決定最低輸入電壓(Uimin)對應的導通時間為TonL,最高輸入電壓(Uimax)的導通時間為

根據式(11)和(12)可以得到開關周期(頻率)與不同電壓比的關系。
[page]
例如,假定導通時間為10μs,1.414Uimin/ Uo=0.65,如果輸入電壓在±20%范圍變化,最低輸入電壓為220×0.8,輸出電壓為Uo =1.414×220×0.8/0.65=383V。周期為10/0.35=28.57μs,頻率為35kHz。在15°時,周期為12μs,相當于開關頻率為83kHz。在最高輸入電壓時,由式(12)得到最高電壓導通時間Tonh=(0.8/1.2)2×TonL=4.444μs,在峰值時的開關周期為T=Tonh/(1-1.414×1.2×220/383)=176μs,相當于開關頻率為5.66kHz。
如果我們。輸出電壓提高到410V,最低輸入電壓時開關周期為25.45μs,開關頻率為39.3kHz。15°時為11.864μs,開關周期為84.5kHz。輸入最高電壓峰值時,周期為49.2μs,開關頻率為20.3kHz。頻率變化范圍大為減少。即使在輸入電壓過零處,截止時間趨近零,開關頻率約為100kHz。最高頻率約為最低頻率只有5倍。而在383V輸出電壓時,卻為18倍。
通過以上計算可以看到,提高輸出電壓,開關頻率變化范圍小,有利于輸出濾波。但是功率管和整流二極管要更高的電壓定額,導通損耗和開關損耗增加。因此,220V±20%交流輸入,一般選擇輸出電壓為410V左右。110V±20%交流輸入,輸出電壓選擇210V。
3. 最大峰值電流
電感中最大峰值電流是峰值電流的1倍
[page]
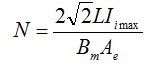
4. 決定電感量
為避免音頻噪聲,在輸入電壓范圍內,開關頻率應在20kHz以上。從以上分析可知,在最高輸入電壓峰值時,開關頻率最低。故假定在最高輸入電壓峰值的開關周期為50μs.由式(11)求得
![]()
由式(12)得到最低輸入電壓導通時間
![]()
根據式(8)得到

5. 選擇磁芯
因為導通時間隨輸入電壓平方成反比,因此應當在最低電壓下選擇磁芯尺寸,只要在最低輸入電壓峰值時避免飽和。

其中:N-電感線圈匝數;Ae-磁芯有效截面積;Bm《Bs(100)-最大磁通密度,為減少損耗,選擇飽和磁感應的70%。
整個窗口銅的截面積

將式(17)代入(16),整理得到

用AP法選擇磁芯尺寸。
6. 計算線圈匝數

7. 線圈導線截面積
例:輸入220V±20%,輸出功率200W,采用臨界連續。假定效率為0.95.
解:輸入最大電流為
![]()
峰值電流為

設輸出電壓為410V,最高輸入電壓時最低頻率為20kHz。即周期為50μs,因此,導通時間為

如果采用磁粉芯,選用鐵硅鋁磁芯。LI2=1.48×3.382×10-3=16.9mJ,選擇77439。有效磁導率為60,其電感系數AL=135nH,電感1.48mH需要的匝數為匝 取N=105匝
77439的平均磁路長度l=10.74cm,磁場強度(Oe)為

由圖得到磁導率為60,H=21Oe,磁導率下降到90%,為了在給定峰值電流時保持給定電感量,需增加匝數為N匝,選取111匝。
此時磁場強度H=111×21/105=22.2Oe,μ下降到0.88,此時電感量

滿足設計要求。最高電壓時開關頻率提高大約1%。應當注意到這里使用的是平均電流,實際峰值電流大一倍,最大磁場強度大一倍,從圖上得到磁導率下降到80%,磁場強度從零到最大,平均磁導率為(0.8+1)/2=0.9,接近0.88。
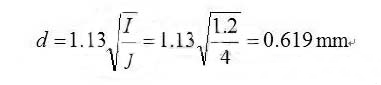
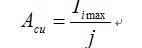
選取電流密度j=5A/mm2,導線尺寸為

選擇d=0.63mm,d’=0.70mm,截面積Acu=0.312mm2。
核算窗口利用系數。Aw=4.27cm2,則

77439鐵硅鋁粉芯外徑OD=47.6mm,內徑ID=23.3mm。考慮第一層
Nm1=(π(ID-0.5d’-0.05)/1.05d’)-1=96.9 實際96匝。
第二層只要15匝。



